La misura delle varie aperture è indicata dal simbolo f/ o f: ed è data dal rapporto tra la lunghezza focale dell'obiettivo, indicata dal simbolo f, e il diametro del diaframma. Ad esempio, nel caso di un obiettivo con lunghezza focale f 50mm ed un diametro del diaframma aperto a 50mm, la misura sarà f/1 o f:1. Infatti, se facciamo il rapporto tra questi due valori, 50:50, otterremo 1.
Ma quanto deve essere il diametro dell'apertura per dimezzare la quantità di luce allo stop successivo? La domanda non è banale. Infatti, se si riduce il diametro di 1/2, l'area dell'apertura si ridurrà molto più della metà rispetto allo stop precedente (esattamente 1/4, come vedremo successivamente).
I matematici, ai quali venne affidato il dilemma, all'alba delle standardizzazioni dei diaframmi degli obiettivi, trovarono la soluzione nel numero √2 (radice di 2), approssimativamente 1,4. A questo punto i valori successivi diventano facilmente calcolabili continuando a moltiplicare i valori precedenti per √2. I valori ottenuti approssimati e standardizzati dal congresso di Liegi del 1905, sono quelli che troviamo stampati sugli obiettivi o indicati nel display della nostra fotocamera: 1 - 1,4 - 2 - 2,8 - 4 - 5, - 8 - 11 - 16 - 22 etc.
La tabella seguente riporta la superfice del cerchio di luce che forma il diaframma al variare del suo diametro, calcolata con un foglio elettronico. Come si vede nell'ultima colonna, l'area diventa via via la metà del valore precedente

Per gli appassionati di matematica riporto il procedimento per determinare la formula in questione.
La dimostrazione è stata gentilmente fornita da Sara Gobbato del sito http://www.matematicamente.it
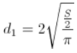
Dalla formula dell'area del cerchio![]()
si ricava il diametro
che si può scrivere anche ![]()
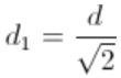
se la superficie si dimezza il nuovo diametro d1 è dato da
che diventa 
Il che equivale a dire che il diametro d1 di un cerchio di superficie grande la metà di quella con diametro d, corrisponde a d/√2
Riccardo Innocenti